第 15 章:腎上腺皮質 (The Adrenal Cortex)
作者: John D.C. Newell-Price & Richard J. Auchus
第一部分:歷史里程碑與解剖發育
1. 歷史里程碑 (Historical Milestones)
人類對腎上腺的認識經歷了從「解剖描述」到「功能確認」再到「分子機制」的漫長過程:
- 解剖期 (16-19世紀):
- 1563年: Bartolomeo Eustachius 首次描述腎上腺(由 Lancisi 於 1714 年出版)。隨後確立了皮質與髓質的區分及分層 (Zonation)。
- 功能確認期 (19世紀中葉):
- 1855年: Thomas Addison 發表經典專著,描述 11 例腎上腺破壞(其中 6 例為結核病)導致的致命臨床症狀(色素沈澱、虛弱、貧血),確立了臨床疾病實體。
- 1856年: Brown-Séquard 切除動物(貓、狗)腎上腺,證實其為「生命必需器官 (Organs essential for life)」。
- 1896年: William Osler 使用豬腎上腺萃取物治療 Addison disease 患者取得臨床獲益。
- 生化與荷爾蒙分離期 (20世紀上半葉):
- 1932年: Harvey Cushing 連結了腦下垂體嗜鹼性細胞腺瘤與腎上腺增生(Cushing disease)。
- 1936年: Selye 提出「壓力 (Stress)」概念及其對垂體-腎上腺功能的影響。
- 1943年: Li, Evans, Simpson 分離出純化的 ACTH。
- 1950年: Hench, Kendall, Reichstein 因發現 Cortisone 及其治療類風濕性關節炎的抗發炎療效而獲得諾貝爾獎。
- 1953年: Simpson 與 Tait 分離並確認 Aldosterone 結構。
- 1955年: Jerome Conn 描述原發性高醛固酮血症 (Primary Aldosteronism)。
- 分子生物學期 (1980年代至今):
- 1981年: Vale 實驗室合成並定序 CRH (Corticotropin-releasing hormone)。
- 現代: 類固醇受體、合成酵素的基因選殖 (Cloning) 完成,徹底解析遺傳性腎上腺疾病的分子基礎。
2. 解剖與胚胎發育 (Anatomy and Development)
【圖解 Fig. 15.1:人類腎上腺皮質發育】
- 起源: 腎上腺皮質細胞源自中胚層 (Intermediate Mesoderm) 的泌尿生殖嵴 (Urogenital Ridge)。與性腺 (Gonad) 和腎臟有共同起源。
- 關鍵轉錄因子 (Transcription Factors):
- 早期分化: 需 WT1, SF1, DAX1, GLI3, WNT4, PBX1, ACD。
- SF1 (Steroidogenic Factor 1): 對腎上腺與性腺原基 (Adrenogonadal primordium) 的分離與形成至關重要。
- 發育階段:
- 妊娠 4 週: 可見腎上腺-性腺原基。
- 妊娠 8 週: 原基分化為兩層:
- 胎兒區 (Fetal Zone, FZ): 內層,體積大(大於胎兒腎臟)。缺乏 -HSD2,主要分泌 DHEA/DHEAS(供胎盤合成雌激素)。
- 明確區 (Definitive Zone, DZ): 外層,未來成人皮質的前身。
- 妊娠 9 週: 膠囊形成;神經脊細胞 (Neural crest cells) 遷入形成髓質。
- 出生後 (Postnatal): FZ 迅速退化(DHEA 驟降);DZ 增生並分化為成人三層結構。
- 腎上腺初現 (Adrenarche): 約 6-8 歲,最內層的網狀帶 (ZR) 發育增厚,重新開始大量分泌 DHEA/DHEAS(與 CYP b5 增加、3-HSD2 減少有關)。
【解剖結構 Fig. 15.2:成人腎上腺】
- 外觀: 金字塔型,重約 4g,位於腎臟後內側上方。
- 組織分層 (Zonation) 與功能:
- 球狀帶 (Zona Glomerulosa, ZG):
- 最外層 (佔 15%),細胞小,呈球狀堆積。
- 特點: 缺乏 -hydroxylase,但具備 Aldosterone synthase (CYP11B2)。
- 分泌: 礦物皮質素 (Aldosterone)。
- 調控: 主要受 Angiotensin II 與鉀離子控制。
- 束狀帶 (Zona Fasciculata, ZF):
- 中間層 (佔 75%),細胞大,富含脂質 (Lipid-laden),呈輻射狀束狀排列。
- 特點: 是主要的皮質部分。
- 分泌: 糖皮質素 (Cortisol)。
- 調控: 主要受 ACTH 控制。
- 網狀帶 (Zona Reticularis, ZR):
- 最內層,邊界清晰。細胞不規則,脂質少。
- 特點: 具備高濃度的 Cytochrome b5 (輔助 17,20-lyase 活性)。
- 分泌: 腎上腺雄性素 (DHEA, DHEAS)。
- 球狀帶 (Zona Glomerulosa, ZG):
- 細胞更新 (Cell Renewal): 幹細胞位於 ZG 與 ZF 之間。細胞向內遷移 (Centripetal migration),在 ZF 分化,最終在 ZR 衰老凋亡。
- 血管供應: 動脈來自膈下、腎、肋間動脈分支 形成包膜下神經叢 微血管向心流動穿過皮質 匯入髓質 中央靜脈。
- 右腎上腺靜脈 下腔靜脈。
- 左腎上腺靜脈 左腎靜脈。
第二部分:類固醇合成與調控 (Steroidogenesis)
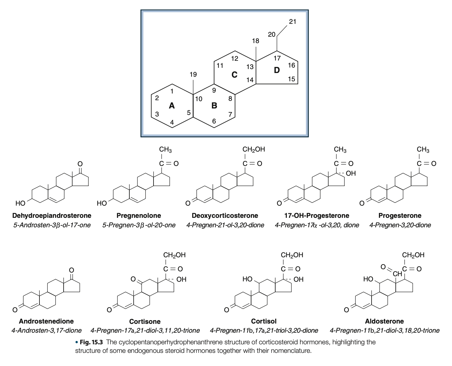
1. 類固醇化學與命名 (Fig. 15.3, Table 15.2)
- 基本結構: 環戊烷多氫菲 (Cyclopentanoperhydrophenanthrene) 核,包含三個六碳環 (A, B, C) 和一個五碳環 (D)。
- 碳原子數:
- C21 類固醇: Glucocorticoids (Cortisol), Mineralocorticoids (Aldosterone), Progestogens。
- C19 類固醇: Androgens (DHEA, Testosterone)。
- C18 類固醇: Estrogens (由 C19 芳香化而來)。
2. 合成路徑與酵素 (Fig. 15.4, 15.5)
所有類固醇皆由膽固醇 (Cholesterol) 合成。膽固醇主要來自血液中的 LDL (透過 LDL receptor 攝取),少量可自行合成 (de novo) 或來自 HDL。
關鍵步驟與酵素分類:
- 限速步驟 (Rate-limiting Step):
- 膽固醇從粒線體外膜運送至內膜。
- 關鍵蛋白: StAR (Steroidogenic Acute Regulatory protein)。
- 調控: ACTH 結合受體 cAMP 上升 快速誘導 StAR 表達。
- P450 酵素系統 (Cytochrome P450 Enzymes):
- Type I (粒線體): 需要 Adrenodoxin Reductase (ADR) 和 Adrenodoxin (Adx) 傳遞電子。
- CYP11A1 (Side-chain cleavage): 膽固醇 Pregnenolone。
- CYP11B1 (-hydroxylase): 11-Deoxycortisol Cortisol。
- CYP11B2 (Aldosterone synthase): Corticosterone Aldosterone。
- Type II (微粒體/內質網): 需要 P450 Oxidoreductase (POR) 傳遞電子。
- CYP17A1 (-hydroxylase/17,20-lyase)。
- CYP21A2 (21-hydroxylase)。
- CYP19A1 (Aromatase)。
- Type I (粒線體): 需要 Adrenodoxin Reductase (ADR) 和 Adrenodoxin (Adx) 傳遞電子。
詳細合成路徑 (必背):
- 礦物皮質素 (ZG 路徑):
- Cholesterol Pregnenolone Progesterone DOC Corticosterone 18-OH Corticosterone Aldosterone。
- 註:ZG 缺乏 CYP17A1,故只能走這條路。
- 糖皮質素 (ZF 路徑):
- Pregnenolone 17-OH Pregnenolone 17-OH Progesterone (17-OHP) 11-Deoxycortisol Cortisol。
- 雄性素 (ZR 路徑):
- 17-OH Pregnenolone DHEA DHEAS。
- 註:17,20-lyase 活性需要 Cytochrome b5 作為別構調節因子 (Allosteric facilitator)。
3. 分泌調控 (Regulation)
A. 糖皮質素:HPA 軸 (Hypothalamic-Pituitary-Adrenal Axis) (Fig. 15.7A)
- 下視丘 (Hypothalamus): 分泌 CRH (41 aa) 和 AVP (Arginine Vasopressin)。
- CRH 是主要刺激因子,AVP 具加成作用。
- 受晝夜節律 (Circadian rhythm) 與壓力 (Stress) 控制。
- 腦下垂體 (Pituitary): 分泌 ACTH (39 aa)。
- 前驅物 POMC (Fig. 15.6): 經 PC1/3 切割產生 ACTH, -LPH, N-POC。
- -MSH: ACTH 前 13 個胺基酸序列,會刺激黑色素細胞 (MC1R),導致 Addison disease 的色素沈澱。
- 腎上腺 (Adrenal):
- ACTH 結合 MC2R (需 MRAP 輔助蛋白協助轉運至細胞膜)。
- 活化 Gs Adenylyl cyclase cAMP PKA。
- 急性作用: 增加 StAR 活性(膽固醇運送)。
- 慢性作用: 增加所有類固醇酵素 (CYP) 的轉錄、增加細胞大小與血流。
- 晝夜節律 (Circadian Rhythm) (Fig. 15.8):
- 脈衝式分泌 (Pulsatile)。
- 高峰: 清晨覺醒時 (6-8 AM)。
- 低谷: 午夜 (Midnight) 至凌晨 2 點。
- 負回饋 (Negative Feedback): Cortisol 抑制 CRH 與 POMC/ACTH 的轉錄與分泌。
B. 礦物皮質素:RAAS 系統 (Fig. 15.7B)
- 主要刺激因子:
- Angiotensin II: 經 IP3/DAG 路徑增加細胞內 。
- 血鉀濃度 (): 高血鉀直接使 ZG 細胞去極化,打開鈣通道。
- 次要因子: ACTH (僅有短暫作用)。
- 抑制因子: ANP (心房利鈉肽), Dopamine。
C. 腎上腺雄性素 (Androgens)
- 主要受 ACTH 控制,與 Cortisol 同步分泌,但具獨特年齡變化 (Adrenarche, Aging)。
- DHEAS 為循環中濃度最高的類固醇,作為周邊組織合成活性性激素的前驅物。
第三部分:類固醇作用機轉 (Hormone Action)
1. 受體與基因轉錄 (Receptors)
- GR (Glucocorticoid Receptor, NR3C1): 分佈廣泛。
- 未結合時與熱休克蛋白 (HSP90/70) 結合於細胞質。
- 結合 Cortisol 後進入細胞核,結合 GRE (Glucocorticoid Response Element)。
- Transactivation: 啟動代謝相關基因(如 PEPCK)。
- Transrepression (Fig. 15.10): 抗發炎作用的核心。GR 與轉錄因子 NF-B 或 AP-1 結合,抑制發炎因子(IL-1, IL-6, TNF-, COX-2)的轉錄。
- MR (Mineralocorticoid Receptor, NR3C2):
- 分佈於遠曲小管、結腸、唾腺、海馬迴、心臟。
- 促進 ENaC (上皮鈉通道) 和 -ATPase 表達,導致鈉滯留、鉀排泄。
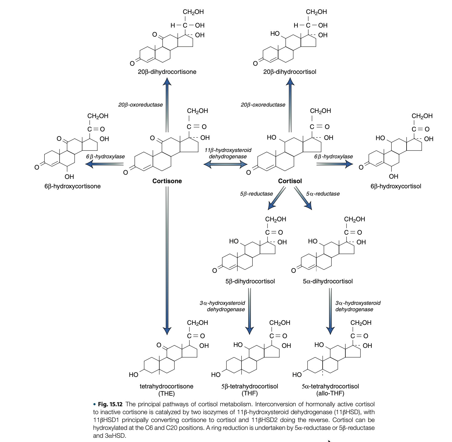
2. 酵素保護機制 (11-HSD2) (Fig. 15.11, 15.12)
- 關鍵問題: Cortisol 與 Aldosterone 對 MR 的親和力相同,且血中 Cortisol 濃度遠高於 Aldosterone (1000倍)。為何 MR 不會被 Cortisol 淹沒?
- 機制: 在礦物皮質素靶細胞(如腎臟)中,表現 -HSD2。
- 功能: 將有活性的 Cortisol 氧化為無活性的 Cortisone。
- 結果: 保護 MR 僅讓 Aldosterone 結合。
- 臨床意義:
- AME 症候群 (Apparent Mineralocorticoid Excess): -HSD2 基因突變,Cortisol 異常活化 MR 低腎素型高血壓、低血鉀。
- 甘草 (Licorice): 含有 Glycyrrhetinic acid,抑制 -HSD2,造成類似效果。
- Cushing Syndrome: 極高量 Cortisol 壓過酵素處理能力,導致礦物皮質素樣作用 (低血鉀)。
3. 代謝與排泄
- -HSD1: 主要在肝臟、脂肪。將 Cortisone 還原回 Cortisol (活化)。
- 代謝產物:
- A 環還原:THF, allo-THF, THE。
- 主要經尿液排出(Glucuronide conjugates)。
第四部分:庫欣氏症候群 (Cushing Syndrome)
1. 定義與分類 (Classification)
長時間暴露於過量糖皮質素所致的臨床症候群。
- 外源性 (Exogenous): 最常見原因 (醫源性,服用類固醇)。
- 內源性 (Endogenous):
- ACTH 依賴型 (ACTH-dependent) (80%):
- Cushing Disease (70%): 腦下垂體腺瘤分泌 ACTH。多為微腺瘤 (<1cm)。
- 異位 ACTH 症候群 (Ectopic ACTH) (10%): 肺小細胞癌 (SCLC)、支氣管類癌 (Carcinoid)、胸腺瘤等。
- ACTH 非依賴型 (ACTH-independent) (20%):
- 腎上腺腺瘤 (Adenoma)。
- 腎上腺皮質癌 (Carcinoma)。
- 雙側大結節增生 (AIMAH) 或 PPNAD (Carney complex)。
- ACTH 依賴型 (ACTH-dependent) (80%):
2. 臨床特徵 (Clinical Features) (Fig. 15.13, 15.16, Table 15.9)
- 外觀: 向心性肥胖 (Centripetal obesity)、月亮臉 (Moon face)、水牛肩 (Buffalo hump)、鎖骨上脂肪墊。
- 皮膚: 寬紫色妊娠紋 (Livid striae >1cm) (高度特異性)、皮膚變薄 (Paper-thin skin)、易瘀青、傷口癒合差、色素沈澱 (僅限 Ectopic ACTH)。
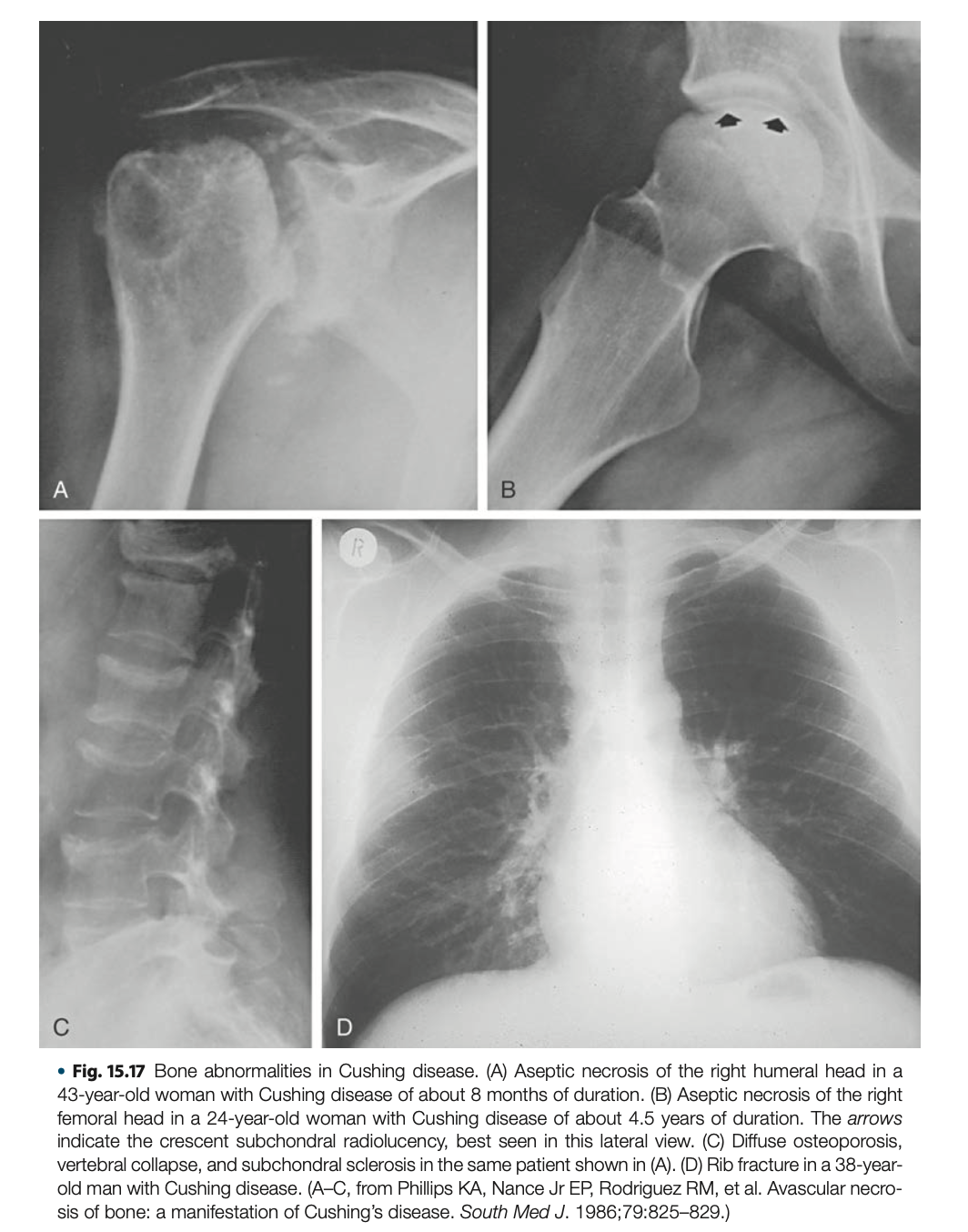
- 肌肉骨骼: 近端肌肉無力 (Proximal myopathy) (無法深蹲起立)、骨質疏鬆 (脊椎壓迫性骨折)、股骨頭缺血性壞死。
- 代謝/心血管: 葡萄糖耐受不良/糖尿病、高血壓、高血脂、低血鉀 (尤其 Ectopic)。
- 生殖/精神: 月經不規則、多毛症 (Hirsutism)、性慾降低、憂鬱、精神病 (Psychosis)。
3. 診斷流程 (Diagnosis Algorithm) (Fig. 15.20, 15.21)
第一階段:確立診斷 (Screening)
排除外源性類固醇後,需至少兩項測試異常才能確診:
- 24小時尿液游離皮質醇 (UFC): 測量整合性分泌量。需大於正常值上限。
- 隔夜 1mg Dexamethasone 抑制測試 (ONDST):
- 方法:23:00 服用 1mg Dex,次日 08:00 測 Cortisol。
- 標準:若 Cortisol > 1.8 g/dL (50 nmol/L) 為異常 (不被抑制)。
- 深夜唾液皮質醇 (Late-night salivary cortisol): 測量生理節律的消失。正常應極低,患者會升高。
第二階段:尋找病因 (Differential Diagnosis)
- 血漿 ACTH 濃度 (Plasma ACTH):
- < 10 pg/mL (被抑制): ACTH 非依賴型 (腎上腺腫瘤)。 做 Adrenal CT。
- > 20 pg/mL (未被抑制): ACTH 依賴型。 需區分 Pituitary vs. Ectopic。
- 區分 Cushing Disease 與 Ectopic ACTH:
- 高劑量 DST (8mg): Cushing Disease 保留部分回饋機制,Cortisol 會被抑制 (>50%);Ectopic 通常不會。
- CRH 刺激測試: Cushing Disease 反應誇張 (ACTH >50%, Cortisol >20%);Ectopic 無反應。
- 岩下竇採樣 (IPSS, Inferior Petrosal Sinus Sampling): 黃金標準。
- 測量岩下竇 (垂體引流) 與周邊靜脈 ACTH 比值。
- 基礎比值 >2 或 CRH 刺激後 >3 Cushing Disease。
- 比值 <2 Ectopic ACTH。
- 影像學: MRI Pituitary (約40%微腺瘤可能看不到), CT Thorax/Abdomen, DOTATATE PET。
4. 治療 (Treatment)
- Cushing Disease: 首選經蝶骨顯微手術 (Transsphenoidal surgery)。復發或失敗可考慮放射治療、藥物或雙側腎上腺切除 (需注意 Nelson syndrome)。
- Adrenal Tumor: 腹腔鏡腎上腺切除術。
- Ectopic ACTH: 切除原發腫瘤。
- 藥物治療 (用於手術前或無法手術者):
- 類固醇合成抑制劑: Metyrapone, Ketoconazole (抑制 CYP 酵素)、Etomidate (靜脈注射急救用)。
- 受體拮抗劑: Mifepristone (GR 拮抗劑)。
- Adrenolytic: Mitotane (殺死皮質細胞,主要用於 ACC)。
- Somatostatin analogues: Pasireotide (針對垂體瘤)。
第五部分:腎上腺功能不全 (Adrenal Insufficiency)
1. 分類與病因 (Etiology)
A. 原發性 (Primary Adrenal Insufficiency) - Addison Disease
腎上腺皮質全層被破壞,導致 Glucocorticoid, Mineralocorticoid, Androgen 皆缺乏。
- 自體免疫 (Autoimmune Adrenalitis): 最常見 (>70-90%)。
- 血液中可測得 21-Hydroxylase 抗體。
- 常合併其他自體免疫病 (APS I, APS II)。
- 感染: 結核病 (TB) (全球常見原因)、HIV/AIDS (CMV, MAC)、黴菌。
- 出血/梗塞: 腦膜炎雙球菌敗血症 (Waterhouse-Friderichsen syndrome)、抗凝血治療。
- 遺傳: 腎上腺腦白質失養症 (ALD, ABCD1 突變)、先天性腎上腺增生 (CAH)、Adrenal hypoplasia congenita (DAX1, SF1)。
- 轉移癌: 肺癌、乳癌轉移。
B. 次發性 (Secondary/Central Adrenal Insufficiency)
ACTH 分泌不足,僅導致 Cortisol 缺乏 (RAAS 系統完整,Aldosterone 正常)。
- 長期外源性類固醇驟停 (最常見,HPA 軸被長期壓抑)。
- 垂體/下視丘腫瘤、手術、放射治療。
- 垂體中風 (Sheehan syndrome, Apoplexy)。
- 基因突變 (TPIT, POMC)。
2. 臨床表現比較 (Clinical Features)
| 特徵 | 原發性 (Addison Disease) | 次發性 (Central AI) |
|---|---|---|
| 關鍵缺乏 | Cortisol + Aldosterone + Androgen | Cortisol + Androgen (Aldo 正常) |
| 皮膚色素 | Hyperpigmentation (因 ACTH ) | 無 (蒼白) |
| 電解質 | 低鈉 (Hyponatremia), 高鉀 (Hyperkalemia) | 可能低鈉 (稀釋性), 鉀正常 |
| 血壓 | 低血壓, 姿勢性低血壓 | 較輕微 |
| 其他症狀 | 鹽渴 (Salt craving), 腹痛, 噁心 | 合併其他垂體荷爾蒙缺乏 |
3. 腎上腺危象 (Adrenal Crisis)
- 定義: 危及生命的急症,常因感染、創傷、手術或突然停藥誘發。
- 症狀: 休克 (Shock) 與病情不符、嚴重腹痛 (Acute abdomen)、發燒、無法解釋的低血糖、意識改變。
- 治療 (Emergency):
- 液體復甦: 立即靜脈輸注大量 Normal Saline (或含糖水)。
- 類固醇: 立即 IV Hydrocortisone 100mg,隨後每 6 小時一次。
- 不需等待檢驗結果!
4. 診斷 (Investigation)
- 早晨 Cortisol: < 3 g/dL 強烈提示不足;> 15-18 g/dL 排除。
- 快速 ACTH 刺激測試 (Short Synacthen Test, SST):
- 給予 250 g ACTH (IV/IM)。
- 30 或 60 分鐘後 Cortisol < 18 g/dL (500 nmol/L) 確診。
- ACTH 濃度: 原發性顯著升高 (>100 pg/mL);次發性低或不適當的正常。
- 其他: 測 21-OH 抗體、Renin/Aldosterone、影像學。
5. 長期治療 (Replacement)
- Glucocorticoid: 終身補充。
- Hydrocortisone: 每日 15-25mg,分 2-3 次給予 (早多晚少,模擬生理節律)。
- Sick Day Rule: 發燒或生病時劑量需 加倍 (x2 或 x3);嚴重無法進食需注射。
- Mineralocorticoid:
- Fludrocortisone: 僅原發性患者需要。劑量依血壓、血鉀、Renin 調整。
第六部分:先天性腎上腺增生症 (CAH)
1. 機制與概論
- 遺傳: 自體隱性遺傳 (Autosomal Recessive)。
- 病理: 類固醇合成酵素 (最常見 CYP21A2) 缺陷 Cortisol 合成 ACTH (負回饋消失) 腎上腺皮質增生 前驅物堆積並轉向合成 Androgens。
2. 21-Hydroxylase Deficiency (CYP21A2 缺陷)
佔 CAH 的 95%。
- 生化特徵:
- 17-OH Progesterone (17-OHP) 顯著升高 (篩檢指標)。
- Cortisol 不足。
- Androgens (DHEA, Androstenedione) 過量。
臨床分型:
- 失鹽型 (Classic Salt-wasting, 75%):
- 酵素活性 <1%。
- 缺乏 Aldosterone: 新生兒期 (1-2週大) 出現低鈉、高鉀、酸中毒、脫水休克。
- Androgen 過量: 女性嬰兒外生殖器男性化 (Ambiguous genitalia);男性嬰兒外觀正常但危象致命。
- 單純男性化型 (Classic Simple Virilizing, 25%):
- 酵素活性 1-2%。
- Aldosterone 足以維持電解質平衡 (無失鹽危象)。
- Androgen 過量: 女性生殖器模糊;兒童期生長加速、骨齡超前、性早熟、但最終成人身高矮小 (Epiphysis 早癒合)。
- 非典型/遲發型 (Non-classic/Late-onset):
- 酵素活性 20-50%。
- 出生時無症狀。青春期或成年女性出現多毛症、月經失調、不孕。類似多囊性卵巢 (PCOS)。
治療:
- Glucocorticoid (Hydrocortisone): 補充 Cortisol 並抑制 ACTH (減少雄性素)。
- Mineralocorticoid (Fludrocortisone): 失鹽型必用。
- 手術: 矯正女性外生殖器。
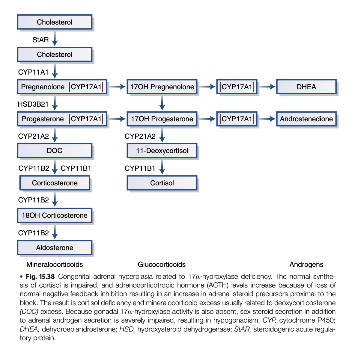
3. 其他罕見型 CAH (鑑別診斷)
| 型別 | 酵素缺陷 | 血壓 | 鉀 | 性徵表現 | 關鍵生化 |
|---|---|---|---|---|---|
| 21-OHD | CYP21A2 | 低/正常 | 高 | 女男性化 | 17-OHP |
| 11-OHD | CYP11B1 | 高 | 低 | 女男性化 | DOC , 11-Deoxycortisol |
| 17-OHD | CYP17A1 | 高 | 低 | 性幼稚 (女), 男假陰陽 | Corticosterone , Progesterone , Sex steroids |
- 11-OHD: DOC (強礦物皮質素) 堆積導致高血壓。
- 17-OHD: 無法合成性激素 (性幼稚);DOC 堆積導致高血壓。
第七部分:腎上腺腫瘤
1. 腎上腺偶發瘤 (Incidentaloma)
- 定義: 影像檢查意外發現的腫瘤。約 4% 的 CT 掃描會發現。
- 評估三原則:
- 是惡性嗎?
- 大小:>4cm 風險高。
- 影像特徵:< 10 HU (富含脂質) = 良性腺瘤。密度高、邊緣不規則、Washout < 50% 提示惡性或嗜鉻細胞瘤。
- 有功能嗎? 即使無症狀也要篩檢:
- Cushing (1mg DST)。
- Pheochromocytoma (Plasma Metanephrines)。
- Primary Aldosteronism (若有高血壓,測 ARR)。
- Subclinical Cushing Syndrome: 最常見的功能異常,與代謝症候群、骨質疏鬆有關。
- 是惡性嗎?
2. 腎上腺皮質癌 (Adrenocortical Carcinoma, ACC)
- 特徵: 罕見但極惡性。常 >6cm。
- 表現: 多數 (60%) 為功能性,常見混合分泌 (Cortisol + Androgens),導致快速進展的 Cushing 症狀與男性化。
- 治療: 根治性手術切除。
- 藥物: Mitotane (o,p'-DDD),為腎上腺毒殺劑,可控制症狀並延長存活,但毒性大。
